首页
聚酰亚胺资讯
聚酰亚胺产品
聚酰亚胺颗粒
聚酰亚胺溶液
聚酰亚胺粉末
聚酰亚胺棒材
聚酰亚胺板材
聚酰亚胺其它材料
特种工程塑料精密零件
特种工程塑料型材
特种工程塑料原料
聚酰亚胺应用
聚酰亚胺型材
耐高低温隔热零件
耐高压绝缘零件
聚酰亚胺密封圈零件
聚酰亚胺树脂原料
聚酰亚胺耐磨零件
聚酰亚胺百科
聚酰亚胺问答
聚酰亚胺厂家
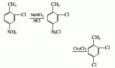
4-Dichlorotoluene
3,4-二氯 3,4-dichlorotoluene
3,4-二氯 3,4-dichlorotoluene
聚酰亚胺百科
2023年12月26日
点赞(12)
评论(0)
阅读
(155)
2,4-二氯 2,4-dichlorotoluene
2,4-二氯 2,4-dichlorotoluene
聚酰亚胺百科
2023年12月26日
点赞(132)
评论(0)
阅读
(508)
首页
找样品
产品
搜索