首页
聚酰亚胺资讯
聚酰亚胺产品
聚酰亚胺颗粒
聚酰亚胺溶液
聚酰亚胺粉末
聚酰亚胺棒材
聚酰亚胺板材
聚酰亚胺其它材料
特种工程塑料精密零件
特种工程塑料型材
特种工程塑料原料
聚酰亚胺应用
聚酰亚胺型材
耐高低温隔热零件
耐高压绝缘零件
聚酰亚胺密封圈零件
聚酰亚胺树脂原料
聚酰亚胺耐磨零件
聚酰亚胺百科
聚酰亚胺问答
聚酰亚胺厂家
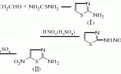
2-氨基-5-硝基噻唑 2-Amino-5-nitrothiazole
2-氨基-5-硝基噻唑 2-amino-5-nitrothiazole
2-氨基-5-硝基噻唑 2-amino-5-nitrothiazole
聚酰亚胺百科
2024年1月16日
点赞(10)
评论(0)
阅读
(213)
首页
找样品
产品
搜索