首页
聚酰亚胺资讯
聚酰亚胺产品
聚酰亚胺颗粒
聚酰亚胺溶液
聚酰亚胺粉末
聚酰亚胺棒材
聚酰亚胺板材
聚酰亚胺其它材料
特种工程塑料精密零件
特种工程塑料型材
特种工程塑料原料
聚酰亚胺应用
聚酰亚胺型材
耐高低温隔热零件
耐高压绝缘零件
聚酰亚胺密封圈零件
聚酰亚胺树脂原料
聚酰亚胺耐磨零件
聚酰亚胺百科
聚酰亚胺问答
聚酰亚胺厂家
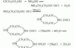
哌嗪六水合物 Piperazine hexahydrate
哌嗪六水合物 piperazine hexahydrate
哌嗪六水合物 piperazine hexahydrate
聚酰亚胺百科
2024年2月21日
点赞(9)
评论(0)
阅读
(272)
首页
找样品
产品
搜索